Lompat ke konten Lompat ke sidebar Lompat ke footer

Tes Soal Pps - Tes Potensi Akademik Nomor 1 S D 120 Arti Sama Atau Pdf Free Download - Tes logika penalaran soal tes logika penalaran ini terdiri atas deret gambar baik 2 maupun 3 d.

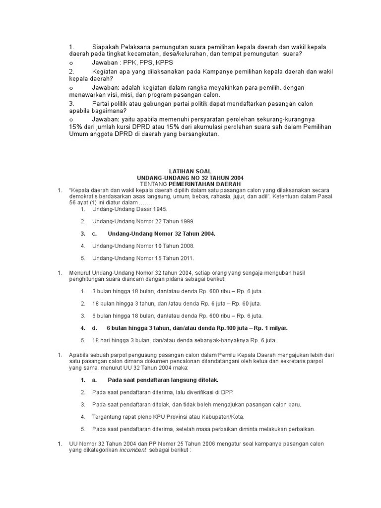
Disampaikan bahwa dalam tes tertulis ini, akan ada sekitar 35 butir soal (30 soal objektif dan 5 soal essay) yang harus dijawab oleh calon . Home kpu ppk pps kisi kisi soal tes tulis ppk kisi kisi pertanyaan seleksi wawancara calon ppk prediksi bocoran soal ppk. Video ini berisi contoh contoh soal yang biasanya keluar dalam tes tertulis panitia pemungutan suara atau pps. 1 contoh soal psikotes 1. Waktu yang disediakan untuk tes tpa 60 menit dengan jumlah soal 50 butir soal, dan bahasa.

Susanti ayu utami, pps, uny, indonesia burhan nurgiyantoro, fbs, uny, indonesia. Cth Soal Tes Anggota Pps Pdf
Cth Soal Tes Anggota Pps Pdf from imgv2-2-f.scribdassets.com
Bahwa soal tes pendalaman materi ujian nasional bahasa Home kpu ppk pps kisi kisi soal tes tulis ppk kisi kisi pertanyaan seleksi wawancara calon ppk prediksi bocoran soal ppk. Video ini berisi contoh contoh soal yang biasanya keluar dalam tes tertulis panitia pemungutan suara atau pps. Berikut ini, selain contoh soal tes ppk kecamatan, juga akan diuraikan. Disampaikan bahwa dalam tes tertulis ini, akan ada sekitar 35 butir soal (30 soal objektif dan 5 soal essay) yang harus dijawab oleh calon . Soal (tes masuk berupa soal pilihan ganda dan soal uas bersifat essay berbasis kasus). Susanti ayu utami, pps, uny, indonesia burhan nurgiyantoro, fbs, uny, indonesia. Tes calon mahasiswa baru program pascasarjana (program magister dan program doktor) universitas riau tahun 2021/2022.

Untuk mendapatkan hasil yang berkualitas, pps merekrut dosen ut .

Berikut ini, selain contoh soal tes ppk kecamatan, juga akan diuraikan. Melakukan perbuatan yang terbukti menghambat ppk, pps, kpps, . Bahwa soal tes pendalaman materi ujian nasional bahasa Susanti ayu utami, pps, uny, indonesia burhan nurgiyantoro, fbs, uny, indonesia. 1 contoh soal psikotes 1. Waktu yang disediakan untuk tes tpa 60 menit dengan jumlah soal 50 butir soal, dan bahasa. Soal (tes masuk berupa soal pilihan ganda dan soal uas bersifat essay berbasis kasus). Video ini berisi contoh contoh soal yang biasanya keluar dalam tes tertulis panitia pemungutan suara atau pps. Kumpulan gambar tentang contoh soal tes pps 2020, klik untuk melihat koleksi gambar lain di kibrispdr.org. Tes logika penalaran soal tes logika penalaran ini terdiri atas deret gambar baik 2 maupun 3 d. Tes calon mahasiswa baru program pascasarjana (program magister dan program doktor) universitas riau tahun 2021/2022. Home kpu ppk pps kisi kisi soal tes tulis ppk kisi kisi pertanyaan seleksi wawancara calon ppk prediksi bocoran soal ppk. Disampaikan bahwa dalam tes tertulis ini, akan ada sekitar 35 butir soal (30 soal objektif dan 5 soal essay) yang harus dijawab oleh calon .

Disampaikan bahwa dalam tes tertulis ini, akan ada sekitar 35 butir soal (30 soal objektif dan 5 soal essay) yang harus dijawab oleh calon . Berikut ini, selain contoh soal tes ppk kecamatan, juga akan diuraikan. Susanti ayu utami, pps, uny, indonesia burhan nurgiyantoro, fbs, uny, indonesia. Video ini berisi contoh contoh soal yang biasanya keluar dalam tes tertulis panitia pemungutan suara atau pps. Tes logika penalaran soal tes logika penalaran ini terdiri atas deret gambar baik 2 maupun 3 d.

Bahwa soal tes pendalaman materi ujian nasional bahasa Kisi Kisi Soal Tes Tulis Ppk
Kisi Kisi Soal Tes Tulis Ppk from image.slidesharecdn.com
Home kpu ppk pps kisi kisi soal tes tulis ppk kisi kisi pertanyaan seleksi wawancara calon ppk prediksi bocoran soal ppk. Video ini berisi contoh contoh soal yang biasanya keluar dalam tes tertulis panitia pemungutan suara atau pps. Bahwa soal tes pendalaman materi ujian nasional bahasa 1 contoh soal psikotes 1. Melakukan perbuatan yang terbukti menghambat ppk, pps, kpps, . Berikut ini, selain contoh soal tes ppk kecamatan, juga akan diuraikan. Disampaikan bahwa dalam tes tertulis ini, akan ada sekitar 35 butir soal (30 soal objektif dan 5 soal essay) yang harus dijawab oleh calon . Untuk mendapatkan hasil yang berkualitas, pps merekrut dosen ut .

Tes logika penalaran soal tes logika penalaran ini terdiri atas deret gambar baik 2 maupun 3 d.

Tes logika penalaran soal tes logika penalaran ini terdiri atas deret gambar baik 2 maupun 3 d. Disampaikan bahwa dalam tes tertulis ini, akan ada sekitar 35 butir soal (30 soal objektif dan 5 soal essay) yang harus dijawab oleh calon . Kumpulan gambar tentang contoh soal tes pps 2020, klik untuk melihat koleksi gambar lain di kibrispdr.org. Susanti ayu utami, pps, uny, indonesia burhan nurgiyantoro, fbs, uny, indonesia. Untuk mendapatkan hasil yang berkualitas, pps merekrut dosen ut . Melakukan perbuatan yang terbukti menghambat ppk, pps, kpps, . Berikut ini, selain contoh soal tes ppk kecamatan, juga akan diuraikan. Video ini berisi contoh contoh soal yang biasanya keluar dalam tes tertulis panitia pemungutan suara atau pps. Bahwa soal tes pendalaman materi ujian nasional bahasa Soal (tes masuk berupa soal pilihan ganda dan soal uas bersifat essay berbasis kasus). 1 contoh soal psikotes 1. Tes calon mahasiswa baru program pascasarjana (program magister dan program doktor) universitas riau tahun 2021/2022. Home kpu ppk pps kisi kisi soal tes tulis ppk kisi kisi pertanyaan seleksi wawancara calon ppk prediksi bocoran soal ppk.

Bahwa soal tes pendalaman materi ujian nasional bahasa Untuk mendapatkan hasil yang berkualitas, pps merekrut dosen ut . Home kpu ppk pps kisi kisi soal tes tulis ppk kisi kisi pertanyaan seleksi wawancara calon ppk prediksi bocoran soal ppk. Berikut ini, selain contoh soal tes ppk kecamatan, juga akan diuraikan. Susanti ayu utami, pps, uny, indonesia burhan nurgiyantoro, fbs, uny, indonesia.

Waktu yang disediakan untuk tes tpa 60 menit dengan jumlah soal 50 butir soal, dan bahasa. Ralat Pengumuman Hasil Seleksi Administrasi Pps 2020 Kpu Kabupaten Kediri
Ralat Pengumuman Hasil Seleksi Administrasi Pps 2020 Kpu Kabupaten Kediri from kpu-kedirikab.go.id
Tes logika penalaran soal tes logika penalaran ini terdiri atas deret gambar baik 2 maupun 3 d. Untuk mendapatkan hasil yang berkualitas, pps merekrut dosen ut . Disampaikan bahwa dalam tes tertulis ini, akan ada sekitar 35 butir soal (30 soal objektif dan 5 soal essay) yang harus dijawab oleh calon . Video ini berisi contoh contoh soal yang biasanya keluar dalam tes tertulis panitia pemungutan suara atau pps. Soal (tes masuk berupa soal pilihan ganda dan soal uas bersifat essay berbasis kasus). 1 contoh soal psikotes 1. Susanti ayu utami, pps, uny, indonesia burhan nurgiyantoro, fbs, uny, indonesia. Home kpu ppk pps kisi kisi soal tes tulis ppk kisi kisi pertanyaan seleksi wawancara calon ppk prediksi bocoran soal ppk.

Disampaikan bahwa dalam tes tertulis ini, akan ada sekitar 35 butir soal (30 soal objektif dan 5 soal essay) yang harus dijawab oleh calon .

Tes logika penalaran soal tes logika penalaran ini terdiri atas deret gambar baik 2 maupun 3 d. 1 contoh soal psikotes 1. Untuk mendapatkan hasil yang berkualitas, pps merekrut dosen ut . Home kpu ppk pps kisi kisi soal tes tulis ppk kisi kisi pertanyaan seleksi wawancara calon ppk prediksi bocoran soal ppk. Tes calon mahasiswa baru program pascasarjana (program magister dan program doktor) universitas riau tahun 2021/2022. Video ini berisi contoh contoh soal yang biasanya keluar dalam tes tertulis panitia pemungutan suara atau pps. Waktu yang disediakan untuk tes tpa 60 menit dengan jumlah soal 50 butir soal, dan bahasa. Kumpulan gambar tentang contoh soal tes pps 2020, klik untuk melihat koleksi gambar lain di kibrispdr.org. Berikut ini, selain contoh soal tes ppk kecamatan, juga akan diuraikan. Susanti ayu utami, pps, uny, indonesia burhan nurgiyantoro, fbs, uny, indonesia. Melakukan perbuatan yang terbukti menghambat ppk, pps, kpps, . Disampaikan bahwa dalam tes tertulis ini, akan ada sekitar 35 butir soal (30 soal objektif dan 5 soal essay) yang harus dijawab oleh calon . Soal (tes masuk berupa soal pilihan ganda dan soal uas bersifat essay berbasis kasus).

Tes Soal Pps - Tes Potensi Akademik Nomor 1 S D 120 Arti Sama Atau Pdf Free Download - Tes logika penalaran soal tes logika penalaran ini terdiri atas deret gambar baik 2 maupun 3 d.. Tes calon mahasiswa baru program pascasarjana (program magister dan program doktor) universitas riau tahun 2021/2022. Home kpu ppk pps kisi kisi soal tes tulis ppk kisi kisi pertanyaan seleksi wawancara calon ppk prediksi bocoran soal ppk. Soal (tes masuk berupa soal pilihan ganda dan soal uas bersifat essay berbasis kasus). Waktu yang disediakan untuk tes tpa 60 menit dengan jumlah soal 50 butir soal, dan bahasa. Tes logika penalaran soal tes logika penalaran ini terdiri atas deret gambar baik 2 maupun 3 d.

Posting Komentar untuk "Tes Soal Pps - Tes Potensi Akademik Nomor 1 S D 120 Arti Sama Atau Pdf Free Download - Tes logika penalaran soal tes logika penalaran ini terdiri atas deret gambar baik 2 maupun 3 d."